-
理工科学
-
理工科学
-
理工科学
-
理工科学
-
理工科学
- 自然科学基础专题讲座
-
主讲:李志强
机构:首都师范大学
- 自然科学基础专题讲座
-
理工科学
- 地球物理学概论(奥鹏教育)
-
主讲:
机构:中国地质大学
- 地球物理学概论(奥鹏教育)
-
理工科学
-
理工科学
-
理工科学
- 汽车运用工程/汽车理论
-
主讲:许洪国
机构:吉林大学
- 汽车运用工程/汽车理论
-
理工科学
- 数学的思维方式与创新
-
主讲:丘维声
机构:北京大学
- 数学的思维方式与创新
-
理工科学
-
理工科学
- 概率论与数理统计:复变函数
-
主讲:
机构:
- 概率论与数理统计:复变函数
-
理工科学
-
理工科学
- 概率论与数理统计自考精讲班
-
主讲:
机构:
- 概率论与数理统计自考精讲班
-
理工科学
-
理工科学
-
理工科学
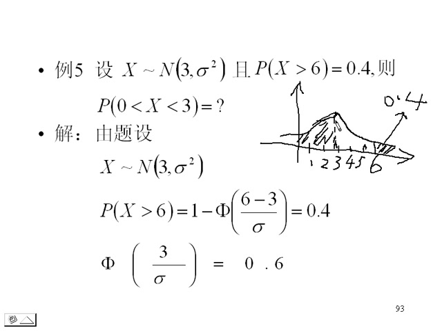
- 概率论与数理统计网上课程
-
主讲:陈必红
机构:深圳大学
- 概率论与数理统计网上课程
-
理工科学
-
理工科学
- 概率论与数理统计上课实录
-
主讲:
机构:
- 概率论与数理统计上课实录
-
理工科学

